ГОСТ Р ИСО 13898-2-2006
Группа В39
НАЦИОНАЛЬНЫЙ СТАНДАРТ РОССИЙСКОЙ ФЕДЕРАЦИИ
Сталь и чугун.
СПЕКТРОМЕТРИЧЕСКИЙ АТОМНО-ЭМИССИОННЫЙ
С ИНДУКТИВНО СВЯЗАННОЙ ПЛАЗМОЙ МЕТОД ОПРЕДЕЛЕНИЯ
НИКЕЛЯ, МЕДИ И КОБАЛЬТА.
Часть 2.
Определение никеля
Stell and iron. Inductively coupled plasma atomic emission
spectrometric method for determination of nicel.
Part 2. Determination of nicel content
ОКС 77.080.01
ОКСТУ 0709
Дата введения 2008-01-01
Предисловие
Цели и принципы стандартизации в Российской Федерации установлены Федеральным законом от 27 декабря 2002 г. N 184-ФЗ "О техническом регулировании", а правила применения национальных стандартов Российской Федерации - ГОСТ Р 1.0-2004 "Стандартизация в Российской Федерации. Основные положения"
Сведения о стандарте
1 ПОДГОТОВЛЕН И ВНЕСЕН Техническим комитетом по стандартизации ТК 145 "Методы контроля металлопродукции"
2 УТВЕРЖДЕН И ВВЕДЕН В ДЕЙСТВИЕ Приказом Федерального агентства по техническому регулированию и метрологии от 21 декабря 2006 г. N 327-ст
3 Настоящий стандарт идентичен международному стандарту ИСО 13898-2:1997 "Сталь и чугун. Определение содержания никеля, меди и кобальта. Спектрометрический метод атомной эмиссии с индуктивно связанной плазмой. Часть 2. Определение содержания никеля" (ISO 13898-2:1997 "Steel and iron - Determination of nickel, copper and cobalt contents - Inductively coupled plasma atomic emission spectrometric method. Part 2: Determination of nickel content").
Наименование настоящего стандарта изменено относительно наименования указанного международного стандарта для приведения в соответствие с ГОСТ Р 1.5-2004 (подраздел 3.5).
При применении настоящего стандарта рекомендуется использовать вместо ссылочных международных стандартов соответствующие им национальные стандарты Российской Федерации, сведения о которых приведены в дополнительном приложении С
4 ВВЕДЕН ВПЕРВЫЕ
ВНЕСЕНА поправка, опубликованная в ИУС N 9, 2007 год
Поправка внесена изготовителем базы данных
Информация об изменениях к настоящему стандарту публикуется в ежегодно издаваемом информационном указателе "Национальные стандарты", а текст изменений и поправок - в ежемесячно издаваемых информационных указателях "Национальные стандарты". В случае пересмотра (замены) или отмены настоящего стандарта соответствующее уведомление будет опубликовано в ежемесячно издаваемом информационном указателе "Национальные стандарты". Соответствующая информация, уведомление и тексты размещаются также в информационной системе общего пользования - на официальном сайте Федерального агентства по техническому регулированию и метрологии в сети Интернет
1 Область применения
1 Область применения
Настоящий стандарт устанавливает спектрометрический атомно-эмиссионный с индуктивно связанной плазмой метод определения никеля в нелегированных сталях и чугунах.
Метод применим для определения массовой доли никеля в диапазоне 0,001% - 0,30%.
2 Нормативные ссылки
В настоящем стандарте использованы нормативные ссылки на следующие международные стандарты:
ИСО 5725-1:1994 Точность (правильность и прецизионность) методов и результатов измерений. Часть 1. Основные положения и определения
ИСО 5725-2:1994 Точность (правильность и прецизионность) методов и результатов измерений. Часть 2. Основной метод определения повторяемости и воспроизводимости стандартного метода измерений
ИСО 5725-3:1994 Точность (правильность и прецизионность) методов и результатов измерений. Часть 3. Промежуточные показатели прецизионности стандартного метода измерений
ИСО 13898-1:1997 Сталь и чугун. Определение содержания никеля, меди и кобальта. Спектрометрический метод атомной эмиссии с индуктивно связанной плазмой. Часть 1. Общие требования и отбор проб
ИСО 14284:1996 Сталь и чугун. Отбор и подготовка проб для химического анализа
3 Общие требования
Общие требования - по ИСО 13898-1.
4 Реактивы и растворы
Если нет других указаний, используют реактивы установленной аналитической степени чистоты, дистиллированную воду, дополнительно очищенную перегонкой или другим способом.
Дополнительные требования к реактивам - по ИСО 13898-1.
4.1 Стандартные растворы никеля
4.1.1 Основной раствор соответствует 1,0 г/дм никеля.
Приготовление стандартного раствора: навеску металлического никеля массой 1,000 г, взятую с точностью до 0,1 мг, и чистотой более 99,99% помещают в химический стакан вместимостью 200 см. Добавляют 50 см
азотной кислоты (ИСО 13898-1, 4.3), закрывают часовым стеклом, постепенно нагревают и кипятят до полного растворения. Охлаждают до комнатной температуры, переносят в мерную колбу вместимостью 1000 см
, после чего доводят до метки водой и перемешивают.
1 см стандартного раствора содержит 1,0 мг никеля.
4.1.2 Стандартный раствор А, соответствующий 0,100 г/дм никеля.
20,0 см стандартного раствора никеля (4.1.1) переносят в мерную колбу вместимостью 200 см
, доводят до метки водой и перемешивают.
Стандартный раствор А готовят непосредственно перед применением.
1 см стандартного раствора А содержит 0,10 мг никеля.
4.1.3 Стандартный раствор В, соответствующий 0,020 г/дм никеля.
10,0 см основного раствора никеля (4.1.1) переносят в мерную колбу вместимостью 500 см
, доводят до метки водой и перемешивают.
Стандартный раствор В готовят непосредственно перед применением.
1 см стандартного раствора В содержит 0,020 мг никеля.
Если градуировочный график получается нелинейным, может быть использована дополнительная серия градуировочных растворов.
5 Аппаратура
Аппаратура должна соответствовать ИСО 13898-1.
6 Отбор проб
Отбор проб - по ИСО 14284.
7 Подготовка и проведение анализа
7.1 Навеску массой 1,000 г взвешивают с точностью до 1 мг.
7.2 Контрольный опыт, соответствующий образцу с нулевым содержанием никеля, проводят по ИСО 13898-1, 7.2.
7.3 Приготовление раствора пробы проводят по ИСО 13898-1, 7.3.1.
7.3.1 Приготовление градуировочных растворов
Вносят в шесть химических стаканов вместимостью 200 см каждый по (1,00±0,001) г чистого железа (ИСО 13898-1, 4.1), добавляют в каждый из них 10 см
азотной кислоты (ИСО 13898-1, 4.3), закрывают часовым стеклом и медленно нагревают до прекращения бурного выделения паров. Добавляют 10 см
соляной кислоты (ИСО 13898-1, 4.2) и продолжают нагревание до полного растворения. Охлаждают до комнатной температуры и количественно переносят раствор в шесть мерных колб вместимостью 200 см
каждая, ополаскивая их минимальным количеством воды. Используя пипетку или бюретку, добавляют в мерные колбы стандартный раствор никеля А (4.1.2), объемы которого указаны в таблице 1.
Таблица 1 - Массовая доля никеля от 0,001% до 0,30%
|
Объем стандартного раствора никеля А, см |
Концентрация никеля |
Массовая доля никеля |
|
0* |
0 |
0 |
|
5,0 |
2,50 |
0,050 |
|
10,0 |
5,00 |
0,100 |
|
15,0 |
7,50 |
0,150 |
|
20,0 |
10,0 |
0,200 |
|
30,0 |
15,0 |
0,300 |
|
* Раствор с нулевой концентрацией определяемого элемента. |
||
Если градуировочный график окажется нелинейным, может быть использована дополнительная градуировочная серия растворов (например из таблиц 2 и 3). Если применяют методику внутреннего стандарта, то добавляют 2 см раствора внутреннего стандарта со скандием (ИСО 13898-1, 4.4) или 10 см
раствора внутреннего стандарта с иттрием (ИСО 13898-1, 4.5). Доводят до метки водой и перемешивают.
Таблица 2 - Массовая доля никеля менее 0,010%
|
Объем стандартного раствора никеля В, см |
Концентрация никеля |
Массовая доля никеля |
|
0* |
0 |
0 |
|
0,5 |
0,050 |
0,0010 |
|
1,0 |
0,100 |
0,0020 |
|
2,0 |
0,200 |
0,0040 |
|
3,0 |
0,300 |
0,0060 |
|
5,0 |
0,500 |
0,0100 |
|
* Раствор с нулевой концентрацией определяемого элемента. |
||
Таблица 3 - Массовая доля никеля от 0,010% до 0,060%
|
Объем стандартного раствора никеля В, см |
Концентрация никеля |
Массовая доля никеля |
|
0* |
0 |
0 |
|
5,0 |
0,50 |
0,010 |
|
10,0 |
1,00 |
0,020 |
|
20,0 |
2,00 |
0,040 |
|
30,0 |
3,00 |
0,060 |
|
50,0 |
5,00 |
0,100 |
|
* Раствор с нулевой концентрацией определяемого элемента. |
||
7.4 Спектрометрические измерения
7.4.1 Оптимизация прибора
Выполняют операции по ИСО 13898-1, 7.4.1.
7.4.2 Измерение интенсивности излучения
Выполняют операции по ИСО 13898-1, 7.4.2.
7.4.3 Подготовка градуировочного графика
Выполняют операции по ИСО 13898-1, 7.4.3.
8 Определение результатов
8.1 Обработка результатов
Выполняют операции по ИСО 13898-1, 8.1.
За результат анализа принимают среднеарифметическое значение результатов двух параллельных определений, если расхождения между ними не превышают значений допускаемых расхождений, приведенных в таблице 4 или рассчитанных по графику, приведенному в приложении В.
Таблица 4
В процентах
|
Массовая доля никеля |
Предел повторяемости (сходимости) |
Предел воспроизводимости |
Предел промежуточной прецизионности |
|
0,001 |
0,00039 |
0,00076 |
0,00055 |
|
0,002 |
0,00046 |
0,00095 |
0,00067 |
|
0,005 |
0,00056 |
0,0013 |
0,00087 |
|
0,010 |
0,00066 |
0,0016 |
0,0010 |
|
0,020 |
0,00077 |
0,0020 |
0,0013 |
|
0,050 |
0,00095 |
0,0028 |
0,0016 |
|
0,050 |
0,0013 |
0,0037 |
0,0020 |
|
0,100 |
0,0026 |
0,0074 |
0,0037 |
|
0,200 |
0,0051 |
0,015 |
0,0070 |
|
0,300 |
0,0075 |
0,023 |
0,010 |
8.2 Прецизионность
Плановые испытания настоящего метода проводились в 26 лабораториях 12 стран. Анализировались 11 образцов с содержанием никеля в указанном диапазоне. В каждой лаборатории выполнялись по три определения с каждым образцом (см. примечания 1 и 2 настоящего подраздела). Использованные образцы приведены в таблице А.1 (приложение А).
Результаты обрабатывались статистически в соответствии с ИСО 5725-1, ИСО 5725-2, ИСО 5725-3 с использованием данных анализа указанных образцов, содержащих 11 уровней содержания никеля в пределах рабочего диапазона.
Полученные данные показали наличие логарифмической зависимости между массовой долей никеля и пределом погрешности сходимости результатов анализа, а также показателями предела воспроизводимости
и предела промежуточной прецизионности
(см. примечание 3 настоящего подраздела), что представлено в таблице 4. Дополнительная информация по международным испытаниям приведена в приложении А.
Графическое представление данных приведено в приложении В.
Примечания
1 Два из трех определений были проведены при условиях повторяемости, указанных в ИСО 5725-1, т.е. одним оператором, на одной аппаратуре, при идентичных рабочих условиях, при одной калибровке и в течение минимального периода времени.
2 Третье определение было выполнено в другое время (в другой день) тем же оператором, который выполнял определения, указанные в примечании 1, с использованием той же аппаратуры при новой калибровке.
3 По результатам, полученным в первый день, были рассчитаны по ИСО 5725-2 предел повторяемости (сходимости) и предел воспроизводимости
. По первому результату, полученному в первый день, и результату, полученному во второй день, был рассчитан по ИСО 5725-3 внутрилабораторный предел промежуточной прецизионности
.
9 Протокол испытания
Протокол испытания - по ИСО 13898-1, раздел 9.
Приложение А (справочное). Дополнительная информация по международным испытаниям
Приложение А
(справочное)
Данные по повторяемости (сходимости) и воспроизводимости, приведенные в таблице 4, были получены, исходя из результатов международных аналитических испытаний, выполненных на девяти образцах стали и двух образцах чугуна при участии 26 лабораторий.
Анализируемые образцы представлены в таблице А1.
Таблица А.1
В процентах
|
Образец |
Массовая доля никеля |
Данные по прецизионности |
||||
|
|
Сертифи- |
Получено |
Предел повторяе- |
Предел воспроиз- |
Предел промежуточной прецизионности |
|
|
|
|
|
|
|
|
|
|
JSS 003 |
0,0008 |
0,00076 |
0,00076 |
0,00049 |
0,00075 |
0,00053 |
|
NR 1 C |
0,0090 |
0,0090 |
0,0089 |
0,00043 |
0,0014 |
0,0010 |
|
NR 21 |
0,035 |
0,0346 |
0,0345 |
0,0011 |
0,0036 |
0,0013 |
|
NBS 15 h |
0,017 |
0,0178 |
0,0178 |
0,00069 |
0,0023 |
0,0011 |
|
NBS 16 f |
0,008 |
0,0083 |
0,0082 |
0,00054 |
0,0017 |
0,0011 |
|
BAS 087-1 |
0,118 |
0,119 |
0,119 |
0,0029 |
0,0108 |
0,0043 |
|
BCS 452 |
0,19 |
0,191 |
0,191 |
0,0040 |
0,0146 |
0,0056 |
|
IRSID 081-1 |
0,042 |
0,0422 |
0,0422 |
0,00090 |
0,0024 |
0,0021 |
|
IRSID 010-1 |
0,259 |
0,264 |
0,264 |
0,0089 |
0,0175 |
0,0107 |
|
EURO 488-1 |
0,0651 |
0,0655 |
0,0654 |
0,0012 |
0,0043 |
0,0023 |
|
EURO 487-1 |
0,040 |
0,0405 |
0,0404 |
0,0014 |
0,0027 |
0,0015 |
|
* Среднее значение результатов, полученных в течение одного дня.
|
||||||
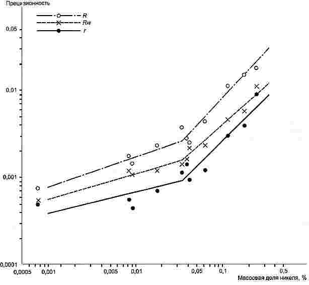
Приложение В (справочное). Графическое представление данных по прецизионности
Приложение В
(справочное)

|
Массовая доля никеля менее 0,03%: |
Массовая доля никеля от 0,03% до 0,3%: |
|
|
|
|
|
|
|
|
|
где - среднее значение массовой доли никеля, полученное в течение одного дня, %;
- среднее значение массовой доли никеля с учетом данных различных дней, %.
Рисунок В.1 - Логарифмическая зависимость между массовой долей никеля и пределом
повторяемости или пределом воспроизводимости
и пределом промежуточной
прецизионности .
Приложение С (справочное). Сведения о соответствии национальных стандартов Российской Федерации ссылочным международным стандартам
Приложение С
(справочное)
Таблица С.1
|
Обозначение ссылочного международного стандарта |
Обозначение и наименование |
|
ИСО 5725-1:1994 |
ГОСТ Р ИСО 5725-1-2002 Точность (правильность и прецизионность) методов и результатов измерений. Часть 1. Основные положения и определения |
|
ИСО 5725-2:1994 |
ГОСТ Р ИСО 5725-2-2002 Точность (правильность и прецизионность) методов и результатов измерений. Часть 2. Основной метод определения повторяемости и воспроизводимости стандартного метода измерений |
|
ИСО 5725-3:1994 |
ГОСТ Р ИСО 5725-3-2002 Точность (правильность и прецизионность) методов и результатов измерений. Часть 3. Промежуточные показатели прецизионности стандартного метода измерений |
|
ИСО 13898-1:1997 |
ГОСТ Р ИСО 13898-1-2006 Сталь и чугун. Спектрометрический атомно-эмиссионный с индуктивно связанной плазмой метод определения никеля, меди и кобальта. Общие требования |
|
ИСО 14284:1996 |
* |
|
* Соответствующий национальный стандарт отсутствует. До его утверждения рекомендуется использовать перевод на русский язык данного международного стандарта. Перевод данного международного стандарта находится в Федеральном информационном фонде технических регламентов и стандартов. |
|